犬とふれあった人の脳内変化
調査を行ったのはスイスにあるバーゼル大学心理学部のチーム。動物介在療法の理論的根拠を探るため、犬とふれあっている時の人間の脳内でどのような変化が起こっているのかを、非生物であるぬいぐるみを比較対照として調査しました。
調査に参加したのは大学の心理学部やウェブサイトからリクルートされた18歳以上の犬の飼い主。選定条件は「アレルギーや犬恐怖症を抱えていないこと」とされました。
調査に参加したのは大学の心理学部やウェブサイトからリクルートされた18歳以上の犬の飼い主。選定条件は「アレルギーや犬恐怖症を抱えていないこと」とされました。
実験方法
2018年2月から7月までの期間、生きた犬やぬいぐるみと対峙したときの脳内血流変化を「fNIRS」と呼ばれる機器を用いて測定しました。
具体的な実験手順は以下。「犬」は医療機関でセラピードッグとして活躍している生きた犬、「ぬいぐるみ」はぬるま湯の入ったペットボトルで犬の体温と体重を再現したもの(58 × 40 × 20 cm)です。
- fNIRS
- 脳内における酸素消費量を、頭皮上から近赤外光を当てることによって非侵襲的に推定する機械。PETと違い騒音や拘束といった余計なストレスがないのが利点。
具体的な実験手順は以下。「犬」は医療機関でセラピードッグとして活躍している生きた犬、「ぬいぐるみ」はぬるま湯の入ったペットボトルで犬の体温と体重を再現したもの(58 × 40 × 20 cm)です。
犬バージョン
- 白い壁を見つめる
- 1m離れた所にいる犬を見つめる
- 被験者の隣に犬が来る
- 犬を撫でる
- 再び白い壁を見つめる
ぬいぐるみバージョン
- 白い壁を見つめる
- 1m離れた所にあるぬいぐるみを見つめる
- 被験者の膝にぬいぐるみを置く
- ぬいぐるみを撫でる
- 再び白い壁を見つめる
実験結果
最終的に19人(女性9名+男性10名/平均年齢32.4歳)の被験者から犬バージョン53ステップ、ぬいぐるみバージョン55ステップのデータが集められました。各ステップにおけるデータを統計的に比較した所、以下のような事実が明らかになったといいます。
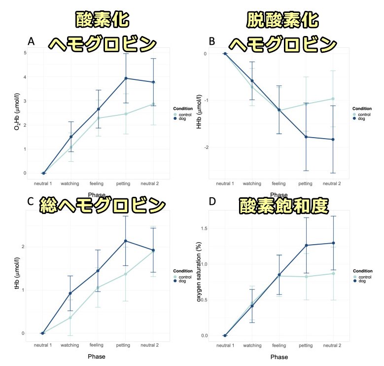
酸素化ヘモグロビン濃度
刺激が強まるにつれ前頭前野における酸素化ヘモグロビン濃度が高まった。ニュートラル1と撫でるフェーズの差は2.78μmol/Lだった。
ニュートラル2で刺激を取り去った後も濃度は高いまま維持され、ニュートラル1よりも統計的に有意なレベルで高かった。
ぬいぐるみよりも犬バージョンの方が0.80μmol/L高かった。この格差は「撫でる」で最大となった。
ニュートラル2で刺激を取り去った後も濃度は高いまま維持され、ニュートラル1よりも統計的に有意なレベルで高かった。
ぬいぐるみよりも犬バージョンの方が0.80μmol/L高かった。この格差は「撫でる」で最大となった。
脱酸素化ヘモグロビン濃度
刺激が強まるにつれ前頭前野における脱酸素化ヘモグロビン濃度が低くなった。ニュートラル1と撫でるフェーズの差は1.23μmol/Lだった。
ニュートラル2でも濃度は低いまま維持され、ニュートラル1よりも統計的に有意なレベルで低かった。
ぬいぐるみよりも犬バージョンの方が低くなる傾向(※非有意)を示し、バージョン間の格差はニュートラル2で最大だった。
ニュートラル2でも濃度は低いまま維持され、ニュートラル1よりも統計的に有意なレベルで低かった。
ぬいぐるみよりも犬バージョンの方が低くなる傾向(※非有意)を示し、バージョン間の格差はニュートラル2で最大だった。
総ヘモグロビン濃度
刺激が強まるにつれ前頭前野における総ヘモグロビン濃度が高まった。ニュートラル1と撫でるの差は1.54μmol/Lだった。
ニュートラル2で刺激を取り去った後も濃度は高いまま維持され、ニュートラル1よりも統計的に有意なレベルで高かった。
ぬいぐるみよりも犬バージョンの方が0.45μmol/L高かった。この格差は「撫でる」で最大となった。また犬を撫でるフェイズに限ると、飼い主が見えない状況より見える状況の方が総ヘモグロビン濃度が低かった。
ニュートラル2で刺激を取り去った後も濃度は高いまま維持され、ニュートラル1よりも統計的に有意なレベルで高かった。
ぬいぐるみよりも犬バージョンの方が0.45μmol/L高かった。この格差は「撫でる」で最大となった。また犬を撫でるフェイズに限ると、飼い主が見えない状況より見える状況の方が総ヘモグロビン濃度が低かった。
酸素飽和度
刺激が強まるにつれ前頭前野における酸素飽和度が高まった。ニュートラル1と撫でるの差は0.93%だった。
ニュートラル2で刺激を取り去った後も飽和度は高いまま維持され、ニュートラル1よりも統計的に有意なレベルで高かった。
ぬいぐるみよりも犬バージョンの方が0.21%高かった。この格差はニュートラル2で最大となった。
Effects of contact with a dog on prefrontal brain activity: A controlled trial
Marti R, Petignat M, Marcar VL, Hattendorf J, Wolf M, Hund-Georgiadis M, et al. (2022), PLoS ONE 17(10): e0274833, DOI:10.1371/journal.pone.0274833
ニュートラル2で刺激を取り去った後も飽和度は高いまま維持され、ニュートラル1よりも統計的に有意なレベルで高かった。
ぬいぐるみよりも犬バージョンの方が0.21%高かった。この格差はニュートラル2で最大となった。
Effects of contact with a dog on prefrontal brain activity: A controlled trialMarti R, Petignat M, Marcar VL, Hattendorf J, Wolf M, Hund-Georgiadis M, et al. (2022), PLoS ONE 17(10): e0274833, DOI:10.1371/journal.pone.0274833
脳を活性化する犬のアニマシー
今回の調査対象となった人間の前頭葉は扁桃核、感覚野、側頭皮質と神経的に相互リンクしており、注意力の制御、作業記憶、問題処理、社会的感情的プロセスといった役割を担っていると考えられています。
犬のアニマシー(有生性)
脳内における血液の状態をモニタリングした結果、対象が生物の犬であれ無生物のぬいぐるみであれ、刺激が「見るだけ→受動的に接触する→能動的に撫でる」と強まるにつれ、前頭前野部の活性が高まることが明らかになりました。
また犬とぬいぐるみを比較した場合、対象が犬である場合の方がより大きく活性化することも合わせて確認されました。この知見は、動物と密に接することで脳が強く活性化されるという先行実験を追認すると同時に、犬がもつアニマシー(animacy, 有生性=生きていること)の重要性を物語るものです。
また犬とぬいぐるみを比較した場合、対象が犬である場合の方がより大きく活性化することも合わせて確認されました。この知見は、動物と密に接することで脳が強く活性化されるという先行実験を追認すると同時に、犬がもつアニマシー(animacy, 有生性=生きていること)の重要性を物語るものです。
先行調査
- Arnskotter(2021)健康な人とほとんど意識のない患者を対象としfNIRS用いて脳内の血液動態的な反応をしらべた所、4人中3人の被験者では機械のおもちゃよりも生きた動物をなでた時の方がが大きかった
- Calcaterra(2015)セラピードッグと20分のセッションを持った子供の脳内では、術後のβ波が速まった
- Sugawara(2012)ストレスや自律神経系に関連した脳のエリアをPETを用いてモニタリングしたところ、普通にリラックスした状態よりも馴染みの犬がいる状況の方が活性度が低かった
- Matsuura(2020)ぬいぐるみを見る、ぬいぐるみをなでる、馬を見るといった状況よりも馬を撫でる方が右前頭部の活性が強かった
- 猫を撫でている時、左下前頭回で活性化が見られた
- Hediger(2014)ロボット犬と触れ合った子供よりも犬と触れ合った子供の方が、集中力を要するタスクにおいて前頭皮質の強い活性化が見られた
繰り返すほど脳が活性化
被験者1人につき合計3回の実験を行った結果、初回の実験においては酸素化ヘモグロビン濃度、脱酸素化ヘモグロビン濃度、総ヘモグロビン濃度、酸素飽和度にバージョン間(犬とぬいぐるみ)の差はなかったものの、実験を2回→3回と繰り返すごとに差が大きくなっていったといいます。
人間側の理由としては犬と繰り返し顔を合わせることで愛着が強まったことなどが考えられます。また犬側の理由としては実験環境に馴れたことにより従順さが高まり、被験者とスムーズに触れ合えるようになったことなどが考えられます。
人間側の理由としては犬と繰り返し顔を合わせることで愛着が強まったことなどが考えられます。また犬側の理由としては実験環境に馴れたことにより従順さが高まり、被験者とスムーズに触れ合えるようになったことなどが考えられます。


